No.1 Puting Road, Yexie Town, Shanghai, China +86-021-58180289 [email protected]
Our factory can customize Low radiation (LOW-E) double-layer hollow tempered glass. Its low radiation characteristics effectively block heat transfer and reduce energy consumption. Double hollow structure enhances sound and heat insulation effect. Tempering improves strength and safety. Suitable for transparent building curtain wall, highlighting modern architectural aesthetics; For greenhouse, control temperature and humidity; On the outside of solar facilities, help efficient energy conversion.
Feature |
Specific Performance |
|---|---|
Ultra-high Strength |
Surface compressive stress layer increases impact strength to 4-8 times that of ordinary glass, and bending strength is enhanced by 3-5 times. |
Safety and Injury Prevention |
After shattering, it forms dull-edged granular fragments (not sharp shards), reducing the risk of injury by 70%. |
Excellent Temperature Resistance |
Can withstand sudden temperature changes from -30℃ to 600℃ (ordinary glass can only handle 70-100℃), making it less likely to shatter under rapid cooling or heating. |
Enhanced Elasticity |
Higher elastic modulus allows for better recovery after deformation under force. |
Good Thermal Stability |
Can endure temperature differences of 150-300℃, suitable for environments with alternating hot and cold conditions (such as shower rooms and kitchens |
Inherent Defects
- Risk of Spontaneous Breakage
- There is an approximate 0.3% spontaneous breakage rate (caused by the expansion of nickel sulfide impurities), which can be mitigated through the use of laminated glass processes (with PVB interlayers).
- No Secondary Processing
- Tempered glass cannot be cut or drilled after processing. Custom shapes must be specified in advance.
- Fragile Edges and Corners
- The edges and corners have lower impact resistance compared to the center and are more prone to shattering upon collision.
Application Scenarios
- Building Facades/Windows: Laminated tempered glass is preferred for its combination of strength and safety against falling debris.
- High-Temperature Appliances (e.g., ovens, induction cooktops): Microcrystalline glass panels are recommended for their ability to withstand thermal shock up to 700°C.
- Home Furniture (e.g., coffee tables, partitions): Sharp impacts on edges and corners should be avoided to reduce the risk of spontaneous breakage.
Company Strengths
1. Industry Experience: With 15 years of experience in tempered glass manufacturing, our digital production lines ensure efficiency and quality, offering a wide range of customized services.
2. Product Customization: Using high-quality glass substrates, we can customize tempered glass products with high transparency, strength, and durability through advanced cutting, edging, and strengthening processes.
3. After-Sales Service: We prioritize customer needs and satisfaction, providing personalized services. Defective or damaged products are guaranteed for replacement or refund.
4. Technical R&D: Our strong technical team has independent R&D capabilities. By introducing advanced international equipment, we continuously improve product performance to meet diverse market demands.
5. Price Advantage: Leveraging a high-quality supply chain and advanced process technology, we reduce production costs. Low minimum order quantities help lower customers' purchasing costs.








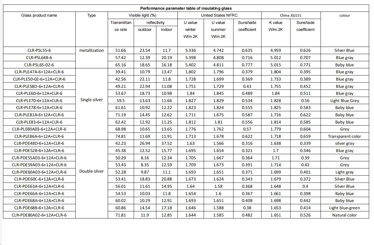
Glass Type |
Insulating Glass |
Double Glass Thickness |
3mm+6A+3mm,5mm+6A+5mm, 6mm+9A+6mm, 6mm+12A+6mm, 6mm+16A+6mm,etc. 3mm+6Ar+3mm,5mm+6Ar+5mm, 6mm+9Ar+6mm, 6mm+12Ar+6mm, 6mm+16Ar+6mm,etc. |
Glass Combination Type |
Tempered Insulating glass, Laminated Insulating Glass, Low-e Insulating Glass, Frosted Insulating Glass, Silkscreen Printing Insulating Glass, Digital Printed Insulating Glass, Chrome Privacy Insulated Glass,etc. |
Low E Type |
Double silver low e, triple silver low e, online hard coated low e: Vitro Solarban 60, Solarban 70, Guardian SN54 SN68 SN62/27, Saint Gobain low e and so on |
Spacer Options |
Stainless steel, aluminum, TGI( warm spacer) , super spacer |
Spacer Thickness |
6mm, 9mm, 12mm, 16mm, 19mm(1/4'',11/32'',1/2'',9/16'',19/32'',5/8'')etc |
Gas Filling |
Air, Argon, Krypton,etc |
Glass Color Option |
Clear, Low Iron, Super White, Super Clear, Extra White, Starphire, Optiwhite, Euro Grey, Dark Grey, Crystal Grey, Brown, Bronze, Ocean Blue, Ford Blue, Dark Blue,etc. |
Edge Processing |
Flat Edge, Seamed Edge, Polished Edge, Bevelled edge, Flat Polished Edge, Round Edge |
Irregular Shape |
Rectangular, Round, Oval, Trapezoid, Parallel, etc. All edges can be bright polished. |
Hole & Notch Available |
Countersunk holes, round holes, bell-mouth holes, simple notch, mickey ears cutouts, etc. The edge of hole and notch can be polished by CNC |












